Ações de responsabilidade social nas academias de ginástica de uma cidade no Norte do Brasil
PDF

Arquivos suplementares

Página de Titulos
Figura 1
Figura 2
Figura 3
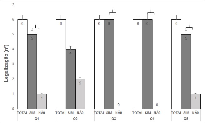
Figura 4
Figura 5

Palavras-chave

Responsabilidade Social
Gestão
Administração

Como Citar

Araújo-Gomes, R. C., Gonçalves, G. dos S., & Borba-Pinheiro, C. J. (2018). Ações de responsabilidade social nas academias de ginástica de uma cidade no Norte do Brasil. Revista De Educação Física / Journal of Physical Education, 87(2). https://doi.org/10.37310/ref.v87i2.749

Resumo

Introdução: As academias de ginástica são empresas voltadas para a prática de atividade física. Ações de responsabilidade social empresarial estão relacionadas a posturas, comportamentos e ações voltadas à promoção da qualidade de vida e bem-estar do público interno e externo da empresa.

Objetivo: Examinar as ações de responsabilidade social que são realizadas pelas academias, na cidade de Tucuruí-PA.

Métodos: Estudo transversal do qual participaram seis academias da cidade de Tucuruí-PA. A coleta de dados foi feita através de um questionário semiestruturado com questões fechadas, abrangendo cinco áreas de responsabilidade social: 1) Bom relacionamento com os clientes; 2) Ações para a comunidade; 3) Tratamento adequado com os funcionários; 4) Legalização; e 5) Responsabilidade com o meio ambiente, realizado em forma de entrevista com os proprietários das academias.

Resultados: Observou-se que a área do relacionamento com os clientes é a mais importante para as academias avaliadas. Todavia, de modo geral, há, também, uma preocupação com as outras áreas abordadas.

Conclusão: As academias analisadas buscavam realizar ações de responsabilidade social dentro das cinco áreas abordadas neste estudo. Os resultados foram discutidos.

Social Responsibility actions in a Fitness Center of a North Brazilian City

Introduction: The fitness centers are companies dedicated to the practice of physical activity. Actions of corporate social responsibility are related to postures, behaviors and actions aimed at promoting the quality of life and well-being of the internal and external public of the company.

Objective: To examine the actions of social responsibility that are carried out by the fitness centers on the city of Tucuruí-PA.

Methods: Cross-sectional study involving six fitness centers from the city of Tucuruí-PA. Data collection was done through a semi-structured questionnaire with closed questions, covering five areas of social responsibility: 1) Clients relationship; 2) Actions for the community; 3) Appropriate treatment with employees; 4) Legalization; and 5) Environment responsibility. It was applied as interview to the fitness centers’ owners.

Results: Relationship with the clients was the most important area observed for the fitness center. However, in general, there is also a concern with the other addressed areas.

Conclusion: The fitness centers evaluated sought to carry out social responsibility actions within the five areas addressed in this study. Results were discussed.

https://doi.org/10.37310/ref.v87i2.749
PDF

Referências

Igarashi DCC, Sibim MC, Igarashi W, Borba JA, Raimundini SL. Evolução De Indicadores De Responsabilidade Social E Empresarial Divulgados Por Empresas Brasileiras. Revista Livre de Sustentabilidade e Empreendedorismo, 2017;2(4):126-146.

Gonçalves CC, Araújo ACMO, Maranhão TLG, Freire RR, Silva BT. Responsabilidade Social: Uma inserção no contexto de desenvolvimento. Revista Multidisciplinar de Psicologia, 2017;11(39). DOI: https://doi.org/10.14295/idonline.v12i39.962

Pimenta MAMA, Gobbo G, Walter SA. Ações De Responsabilidade Social E De Sustentabilidade: Análise dos dados da filial Itajaí do Instituto Unimed Santa Catarina. 2012. Anais do IX Congresso Virtual Brasileiro – Administração, 23 a 25 de novembro de 2012. Disponível em: http://www.convibra.com.br/upload/paper/2012/40/2012_40_5183.pdf. Acessado em 20/03/2018 às 16:32.

Melo Neto FP, Froes C. Gestão da responsabilidade social corporativa: o caso brasileiro da filantropia tradicional à filantropia de alto rendimento e ao empreendedorismo social. 2 ed. Rio de Janeiro: Qualitymark, 2004.

Oliveira FC, Guimarães FPM. Responsabilidade Social Das Empresas E Sua Relevância Para A Evolução Social Na Perspectiva Da Realidade Brasileira. Revista Brasileira de Direito Empresarial. Maranhão. 2017;3(2):100–115.

Thomas J, Nelson J, Silverman S. Método de pesquisa em atividade física. 5 ed. Porto Alegre: Artmed, 2007.

Brasil. Comissão Nacional de Ética em Pesquisa: Resolução atualizada Nº 510/16 pesquisa com humanos. Brasília: Conselho Nacional de Saúde, 2016. Disponível em: http://conselho.saude.gov.br/resolucoes/2016/Reso510.pdf

Queiroz SG, Estender AC, Galvão M. Responsabilidade Social: uma Estratégia para as Empresas se Destacarem no Mercado. XI Simpósio de Excelência e Gestão Tecnológica, Resende - Rio de Janeiro, 2014. Disponível em: https://www.aedb.br/seget/arquivos/artigos14/1002076.pdf. Acessado em 20/03/2018 às 18:08.

Coimbra TC. O reordenamento do trabalho do professor de educação física e a organização empresarial do âmbito do fitness: COFEF/CREF, ACAD e SINDACAD. Motrivivência Ano XXII, 2010;(35):62-78.

Vergara SC, Branco PD. Empresa humanizada: a organização necessária e possível. Revista de Administração de Empresas. 2001;41(2):20-30.

Santos SRA, Machado MNM. Ações de Responsabilidade Social Corporativa, vistas pela Mídia, por Empresas e por Usuários. Anais – XV ENABRASPSO, 2009. Disponível em: http://www.abrapso.org.br/siteprincipal/images/Anais_XVENABRAPSO/13.%20a%C7%D5es%20de%20responsabilidade%20social%20corporativa%2C.pdf. Acessado em 20/03/2018 às 17:21.

Fischer RM. Estado, mercado e terceiro setor: uma análise conceitual das parcerias intersetoriais. RAUSP – Revista de Administração da FEA USP. 2005;40(1):5-18.

Furtado RP. Do Fitness Ao Wellnes: Os Três Estágios De Desenvolvimento Das Academias De Ginástica. Pensar a Prática. 2009;12(1):1-11.

Autores que publicam nesta revista concordam com os seguintes termos:
  1. Autores mantém os direitos autorais e concedem à revista o direito de primeira publicação, com o trabalho simultaneamente licenciado sob a Licença Creative Commons Attribution que permite o compartilhamento do trabalho com reconhecimento da autoria e publicação inicial nesta revista.
  2. Autores têm autorização para assumir contratos adicionais separadamente, para distribuição não-exclusiva da versão do trabalho publicada nesta revista (ex.: publicar em repositório institucional ou como capítulo de livro), com reconhecimento de autoria e publicação inicial nesta revista.
  3. Autores têm permissão e são estimulados a publicar e distribuir seu trabalho online (ex.: em repositórios institucionais ou na sua página pessoal) a qualquer ponto antes ou durante o processo editorial, já que isso pode gerar alterações produtivas, bem como aumentar o impacto e a citação do trabalho publicado.